Ответы
Ответ дал:
1
Ответ дал:
1
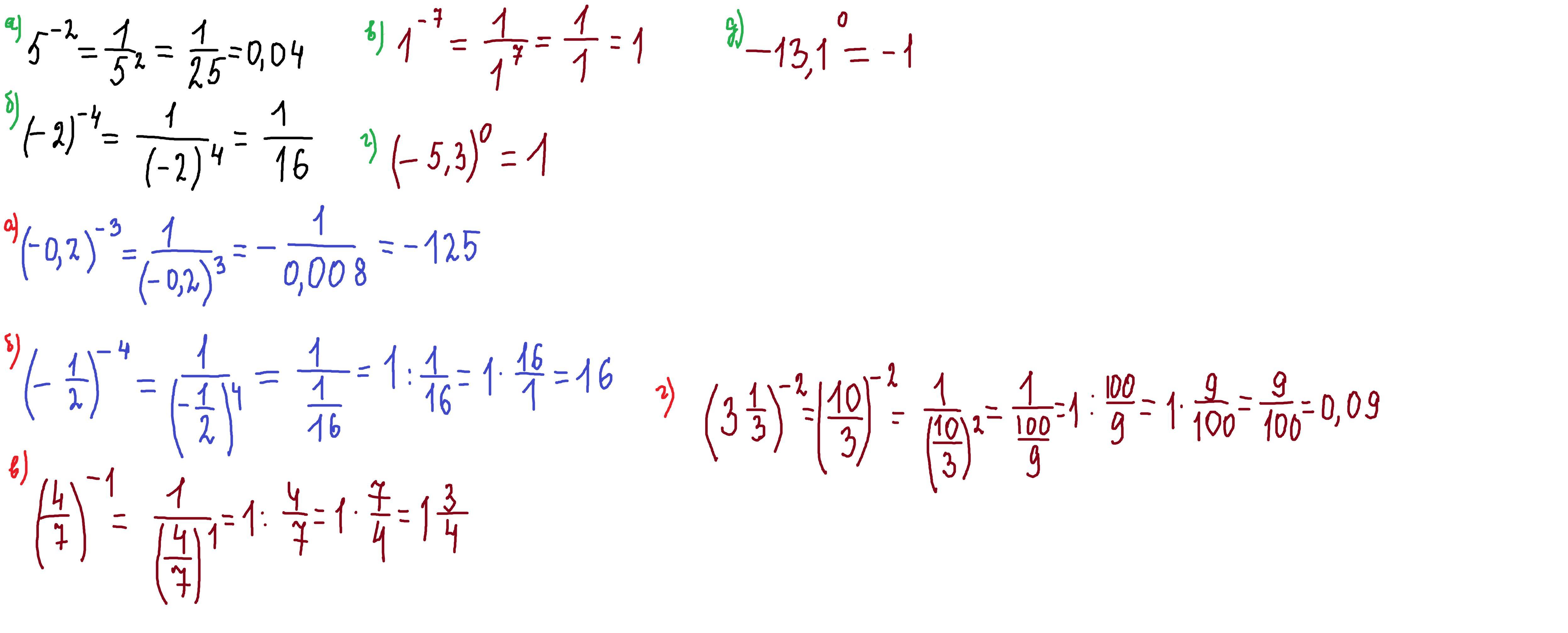
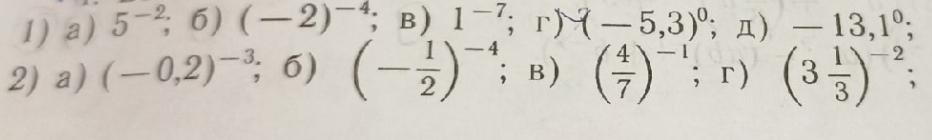
Ответ:
Объяснение:
решение внизу
Приложения:

Вас заинтересует
2 года назад
2 года назад
3 года назад
8 лет назад