• Предмет: Математика
  • Автор: LaydPlay
  • Вопрос задан 8 лет назад

Не панима((
・゜(。┰ω┰。).・゜​

Приложения:

Ответы

Ответ дал: parus77
3

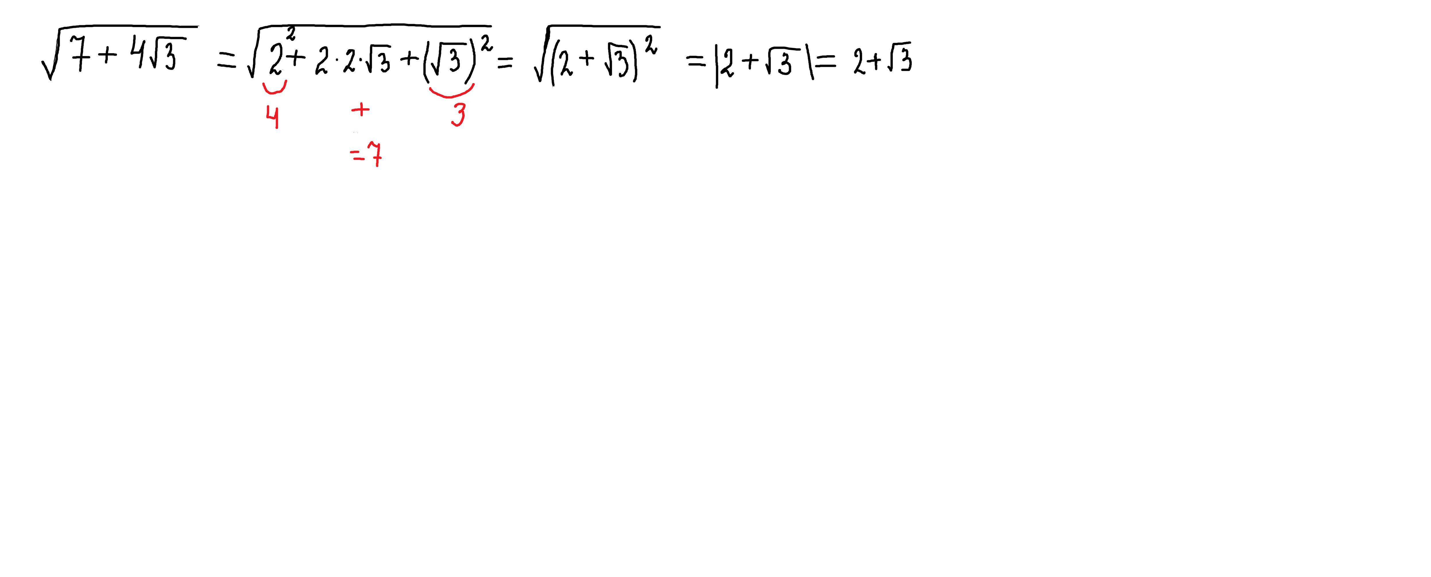
Ответ:

Пошаговое объяснение:

решение внизу

Приложения:
Вас заинтересует