• Предмет: Математика
  • Автор: Аноним
  • Вопрос задан 8 лет назад

помогите решить, даю 20 баллов за решение.

Приложения:

Ответы

Ответ дал: iramazurk
2

Ответ:

Пошаговое объяснение:

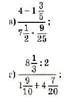
В.

1) 4 - 1. 3/5 = 3. 5/5 - 1. 3/5 = 2. 2/5

Это числитель

2) 7. 1/2 * 9/25 = 15/2 * 9/25 = 3/2 * 3/5 = 9/10

Это знаменатель

3) 2. 2/5 : 9/10 = 12/5 : 9/10 = 12/5 * 10/9 = 4/1 * 2/3 = 8/3 = 2. 2/3

Это результат всего примера

Ответ: 2. 2/3

Г.

1) 8. 1/3 : 2 = 25/3 : 2 =

25/3 * 1/2 = 25/6

Это числитель

2) 1. 9/10 + 4. 7/20 =

1. 18/20 + 4. 7/20 =

5. 25/20 = 6. 5/20 = 6. 1/4

Это знаменатель

3) 25/6 : 6. 1/4 =

25/6 : 25/4 = 25/6 * 4/25 = 4/6 = 2/3

Это результат всего примера

Ответ: 2/3


Аноним: спасибо!
Вас заинтересует