• Предмет: Алгебра
  • Автор: 1z1z1
  • Вопрос задан 8 лет назад

Помогите пожалуйста с 3 номером
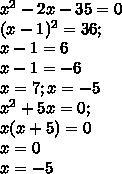
ПОЛНОЕ РЕШЕНИЕ

Приложения:

Ответы

Ответ дал: Matematiktm
0

Ответ:

Объяснение:

S1={-5; 7};

S2={-5; 0};

S1∪S2={-5; 0; 7};

Приложения:
Вас заинтересует