• Предмет: Алгебра
  • Автор: Аноним
  • Вопрос задан 8 лет назад

Помогите, пожалуйста, срочно!
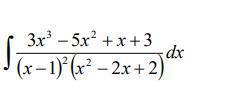
Вычислить интеграл

Приложения:

Ответы

Ответ дал: NNNLLL54
2

Ответ:

\displaystyle \int \frac{3x^3-5x^2+x+3}{(x-1)^2(x^2-2x+2)}\, dx=I\\\\\\ \frac{3x^3-5x^2+x+3}{(x-1)^2(x^2-2x+2)}=\frac{A}{(x-1)^2}+\frac{B}{x-1}+\frac{Cx+D}{x^2-2x+2}\\\\\\3x^3-5x^2+x+3=A(x^2-2x+2)+B(x-1)(x^2-2x+2)+(Cx+D)(x-1)^2\ ;\\\\x=1:\ \ A=\frac{2}{1}=2\\\\x^3\ |\ 3=B+C\ \ ,\ \qquad \qquad \qquad \qquad B=3-C\\x^2\ |\ -5=A-3B-2C+D\ \ ,\ \ \ \ -7=-3B-2C+D\\x^0\ |\ 3=2A-2B+D\ \ ,\ \ \ \ \ \qquad \ \ \ -1=-2B+D\ \ ,\ \ D=2B-1\ ,\\\\\\-7=-3B-2C+2B-1\ \ ,\ \ B+2C=6\ \ ,\ \ 3-C+2C=6\ \ ,\ \ C=3

\displaystyle B=3-3=0\ \ ,\ \ D=6-1=5\\\\\\I=\int \frac{2}{(x-1)^2}\, dx+\int \frac{3x+5}{x^2-2x+2}\, dx=-\dfrac{1}{x-1}+\int \frac{3x+5}{(x-1)^2+1}\, dx=\\\\\\=\frac{1}{x-1}+\int \frac{3(x-1)+8}{(x-1)^2+1}\, dx=\frac{1}{x-1}+3\int \frac{(x-1)\, dx}{(x-1)^2+1}+8\int \frac{d(x-1)}{(x-1)^2+1}=

=\dfrac{1}{x-1}+\dfrac{3}{2}\cdot ln|(x-1)^2+1|+8arctg(x-1)+C=\\\\\\=\dfrac{1}{x-1}+\dfrac{3}{2}\cdot ln|x^2-2x+2|+8arctg(x-1)+C      


Аноним: можешь помочь, 100 баллов, пожалуйста!
https://znanija.com/task/45288817
NNNLLL54: там долго писать
Аноним: а то очень срочно нужно, баллами не обижу
Аноним: буду очень рада, если сделаешь, 100 баллов, задавала таких вопросов раза 3-4, на тебя большая надежда!
Вас заинтересует