• Предмет: Алгебра
  • Автор: alisapipisa05
  • Вопрос задан 8 лет назад

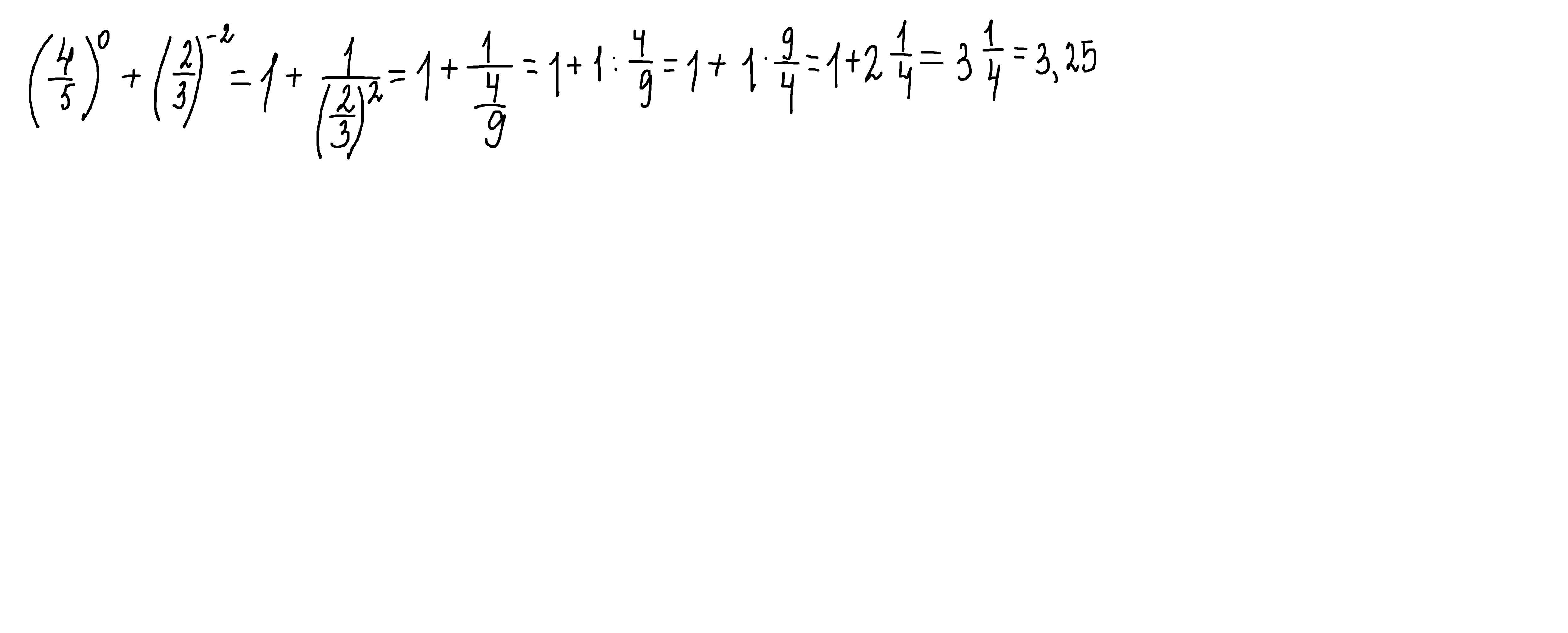
упростите (4/5)⁰ + (2/3)-²
пожалуйста​

Ответы

Ответ дал: asuskirill121
0

Ответ:

13/4

Объяснение:

(4/5)⁰ + (2/3)-² = 1+9/4 = 1 9/4 = 13/4

Ответ дал: parus77
0

Ответ:

3 1\4=3,25

Объяснение:

любов число в 0 степени равно 1.

решение внизу

Приложения:
Вас заинтересует