Ответы
Ответ дал:
0
..................................................
Приложения:
Ответ дал:
0
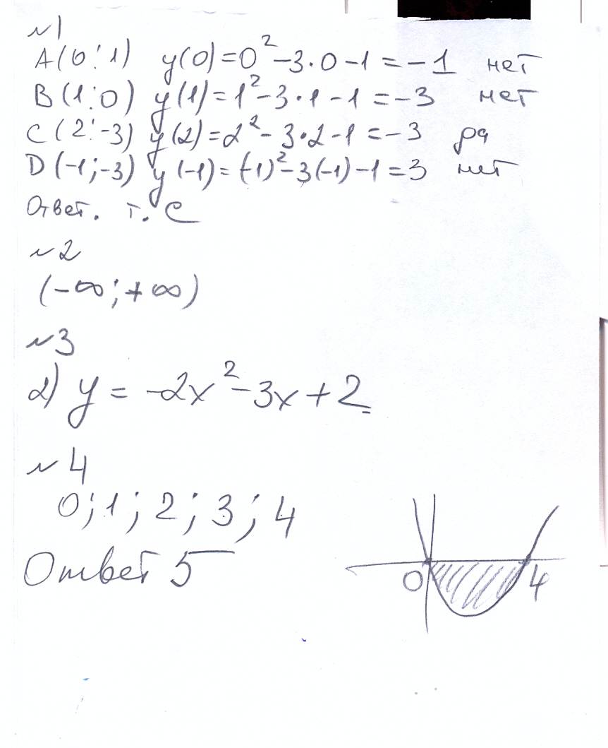
1)у=х²-3х-1 .Ответ : точка С(2;-3) , так как -3=2²-3· 2 -1
-3=4-6-1
-3=-3
Для остальных случаев равенство не выполняется
2)у=-х²+6х+7
Область определения - все числа. Х - может быть любым числом .
Ответ: (-оо;+оо)
3) Ответ : изображён график у= -2х²-3х+2, так как график проходит через точки с координатами (-2;0),(0;2) и пересекает ось (0х) в точке (0,5;0)
4) Целые решения неравенства 0;1;2;3;4
при х= 0; 0²≤4·0 верно
х=1 ; 1²≤ 4· 1 верно
х=2 ; 2²≤ 4· 2 верно
х= 3 ; 3²≤4· 3 верно
х=4; 4²≤ 4·4 верно . Ответ : 5 целых решений
-3=4-6-1
-3=-3
Для остальных случаев равенство не выполняется
2)у=-х²+6х+7
Область определения - все числа. Х - может быть любым числом .
Ответ: (-оо;+оо)
3) Ответ : изображён график у= -2х²-3х+2, так как график проходит через точки с координатами (-2;0),(0;2) и пересекает ось (0х) в точке (0,5;0)
4) Целые решения неравенства 0;1;2;3;4
при х= 0; 0²≤4·0 верно
х=1 ; 1²≤ 4· 1 верно
х=2 ; 2²≤ 4· 2 верно
х= 3 ; 3²≤4· 3 верно
х=4; 4²≤ 4·4 верно . Ответ : 5 целых решений
Приложения:
Вас заинтересует
3 года назад
3 года назад
8 лет назад
11 лет назад
11 лет назад
11 лет назад