• Предмет: Алгебра
  • Автор: veronikadiy
  • Вопрос задан 8 лет назад

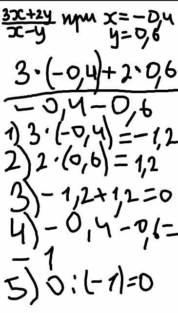
Найдите значение дроби при указанных значениях переменных:​

Приложения:

Ответы

Ответ дал: kamillasubhankulova3
1

Объяснение:

вроде понятно.

Приложения:
Вас заинтересует