• Предмет: Математика
  • Автор: amiraarsyn
  • Вопрос задан 8 лет назад

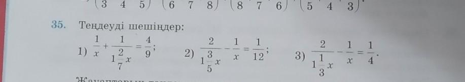
Помогите пожалуйста 6 класс​

Приложения:

Ответы

Ответ дал: ulyanailkiv2019
0

Ответ:

раонуодрпрллрпарлтш ор пдр


amiraarsyn: отаечайте нормально
Вас заинтересует