Ответы
Ответ дал:
1
Ответ:
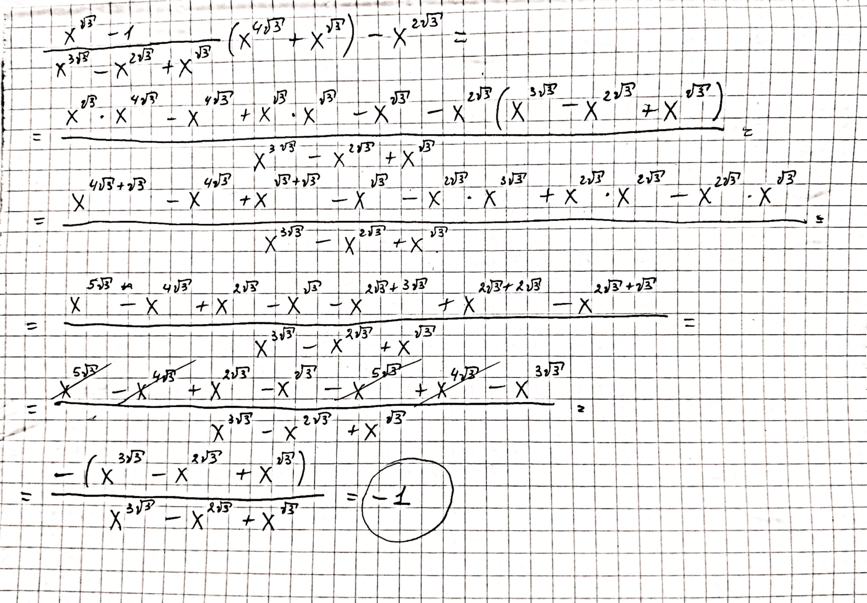
-1
Объяснение:
см рис
Приложения:

girlokay:
хорошо, спасибо!
Вас заинтересует
2 года назад
3 года назад
3 года назад
8 лет назад
9 лет назад