• Предмет: Алгебра
  • Автор: ZaznalsyakakGadyka
  • Вопрос задан 8 лет назад

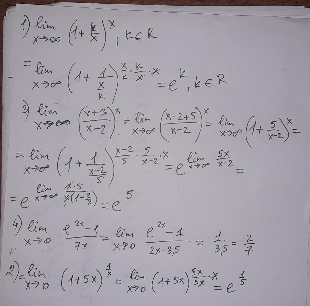
Найди пределы функции

Приложения:

kazemir4ik: во 2-м примере корень какой степени?
kazemir4ik: степени икс?

Ответы

Ответ дал: kazemir4ik
1

Объяснение:

Вроде все так, во всех 4х пределах применили второй замечательный предел

Приложения:
Вас заинтересует