• Предмет: Алгебра
  • Автор: lberdnikova97
  • Вопрос задан 11 лет назад

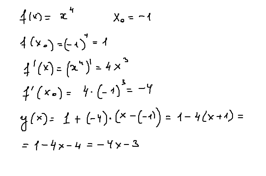
напишите уравнение касательной к графику функции y=f(x) в точку абсцисса который равен икс нулевое f(x)=x4.x 0=-1 

Ответы

Ответ дал: esmilya
0
решениееееееееееееееее
Приложения:
Вас заинтересует