• Предмет: Математика
  • Автор: dzajceva648
  • Вопрос задан 8 лет назад

Срочно помогите пожалуйста решить!ДАМ СТО БАЛЛОВ​

Приложения:

Ответы

Ответ дал: Аноним
4

Ответ:

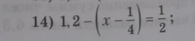
1.2-(х-1/4)=1/2

1.2-х+1/4=1/2

1.2-х+0.25=0.5

1.2-х=0.5-0.25

1.2-х=0.25

-х=0.25-1.2

-х=-0.95

х=0.95

Пошаговое объяснение:


dzajceva648: спасибо большое)
Аноним: не за что
Ответ дал: Applegate
9

Решение и ответ - на фото

Приложения:
Вас заинтересует