Помогите перевести формулу в язык программирования c++
Приложения:
vimmortal2:
какой язык программирования нужен?
c++
Ответы
Ответ дал:
0
Ответ:
#include <iostream>
#include <cmath>
using namespace std;
int main()
{
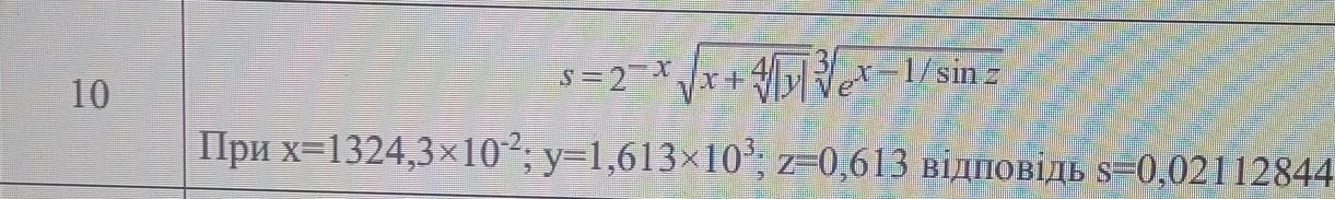
float x = 1324.3 * pow(10,-2), y = 1.613 * pow(10,3), z = 0.613;
float s = pow(2,-x) * sqrt(x + pow(abs(y), 1.0 / 4)) * pow(exp(x - 1 / sin(z)),1.0/3);
cout << s << endl;
}
Вас заинтересует
2 года назад
2 года назад
3 года назад
3 года назад
9 лет назад
9 лет назад
10 лет назад