Ответы
Ответ дал:
0
решениеееееееееееееееееееееееееее
Приложения:
Ответ дал:
0
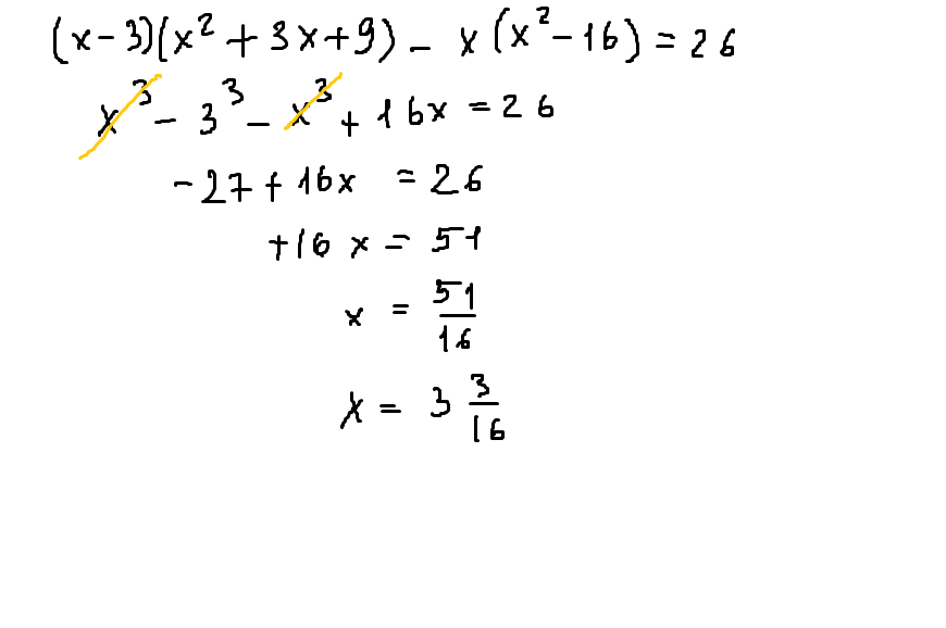
(x-3)(х квадрате+3х+9)-х(хквадрате-16)=26
х в квадрате +3х в квадрате +9х - 3х в квадрате -9х-27-х в квадрате+16х=26
х в квадрате + 3х в квадрате+9х-3х в квадрате -9х-27-х в квадрате + 16х - 26 =0
16х-27-26=0
16х -53=0
16х=53
х = 5316
х = 3(дробь 516)
х в квадрате +3х в квадрате +9х - 3х в квадрате -9х-27-х в квадрате+16х=26
х в квадрате + 3х в квадрате+9х-3х в квадрате -9х-27-х в квадрате + 16х - 26 =0
16х-27-26=0
16х -53=0
16х=53
х = 5316
х = 3(дробь 516)
Приложения:
Вас заинтересует
3 года назад
3 года назад
8 лет назад
8 лет назад
11 лет назад
11 лет назад
11 лет назад