• Предмет: Алгебра
  • Автор: Аноним
  • Вопрос задан 8 лет назад

1помогите ришите пж ​

Приложения:

Ответы

Ответ дал: marina733071
0

Объяснение:

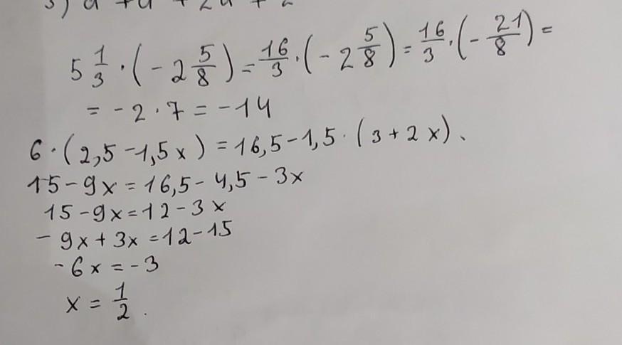
вот подробное решение.удачи

Приложения:
Ответ дал: arinaosipova26112007
0

Ответ:

5 1/3×(-2 5/8)= -14

Сначала дроби переводим в неправильные

16/3 21/8

- 16/3×21/8= -14

Вас заинтересует