• Предмет: Математика
  • Автор: wifise1488
  • Вопрос задан 8 лет назад

Дам 35 баллов за правильный ответ.

Приложения:

Ответы

Ответ дал: trudnooch
0

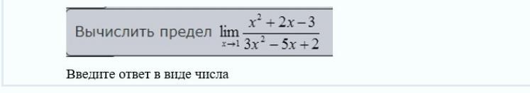
Решение:

1. Преобразуем 2x в разность 3x-x

2. Преобразуем -5x в сумму -2x-3x

3. Выносим за скобки общий множитель x в числителе и знаменателе

4. Вносим в скобки -x-3 ➡ -(x+3)

и -3x+2 ➡ (3x-2)

5. Выносим общий множитель (x+3) в числителе. А в знаменателе (3x-2)

6. Сокращаем (x-1) в числителе и знаменателе

7. Находим lim, т.к x стремится к 1, то подставляем вместо x число 1

Ответ: 4

Приложения:
Вас заинтересует