• Предмет: Алгебра
  • Автор: zxsurced
  • Вопрос задан 8 лет назад

СРОЧНО!
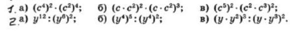
3. Используя свойства степеней, найдите значение выражения:

Приложения:

Ответы

Ответ дал: naruto2478
0

Ответ:

Вот ответ пж ставь лайк !!

Приложения:
Вас заинтересует