• Предмет: Алгебра
  • Автор: Strange08
  • Вопрос задан 8 лет назад

Решить в целых числах
2x²-2xy+9x+y=2​

Ответы

Ответ дал: bebra1233210
0

Ответ:

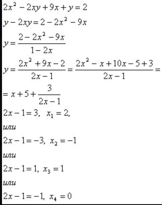
Выразим y через x из имеющегося уравнения: y=2x2+9x−22x−1. Деление, очевидно, возможно, так как 2x−1≠0.

Разделим с остатком числитель на знаменатель: 2x2+9x−2=(2x−1)(x+5)+3. Получается, что y=x+5+32x−1. Число 2x−1 может принимать значения {±1;±3}, что соответствует случаям x=1, x=0, x=2, x=−1. Для каждого такого x выражаем y по формуле, получая четыре решения

Ответ дал: dianochkasmirnova050
0

Ответ:

приблизительно так, не уверенна

Приложения:
Вас заинтересует