Ответы
Ответ дал:
1
Ответ:
доказала
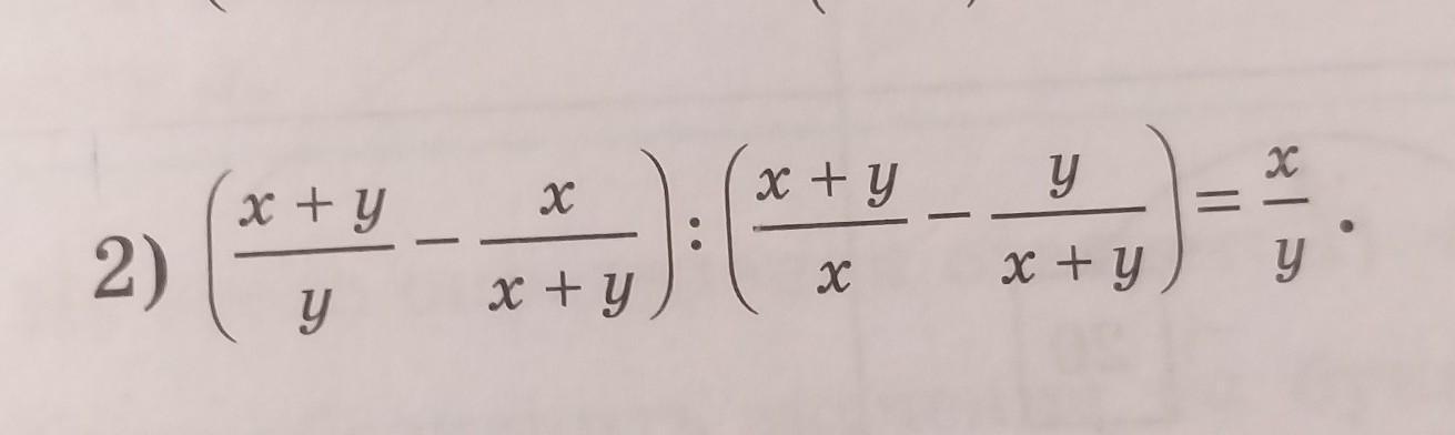
Объяснение:
в обеих скобках дроби приводим к общему знаменателю, потом делим и сокращаем
Приложения:

Вас заинтересует
2 года назад
3 года назад
8 лет назад