• Предмет: Алгебра
  • Автор: gfruzjot
  • Вопрос задан 8 лет назад

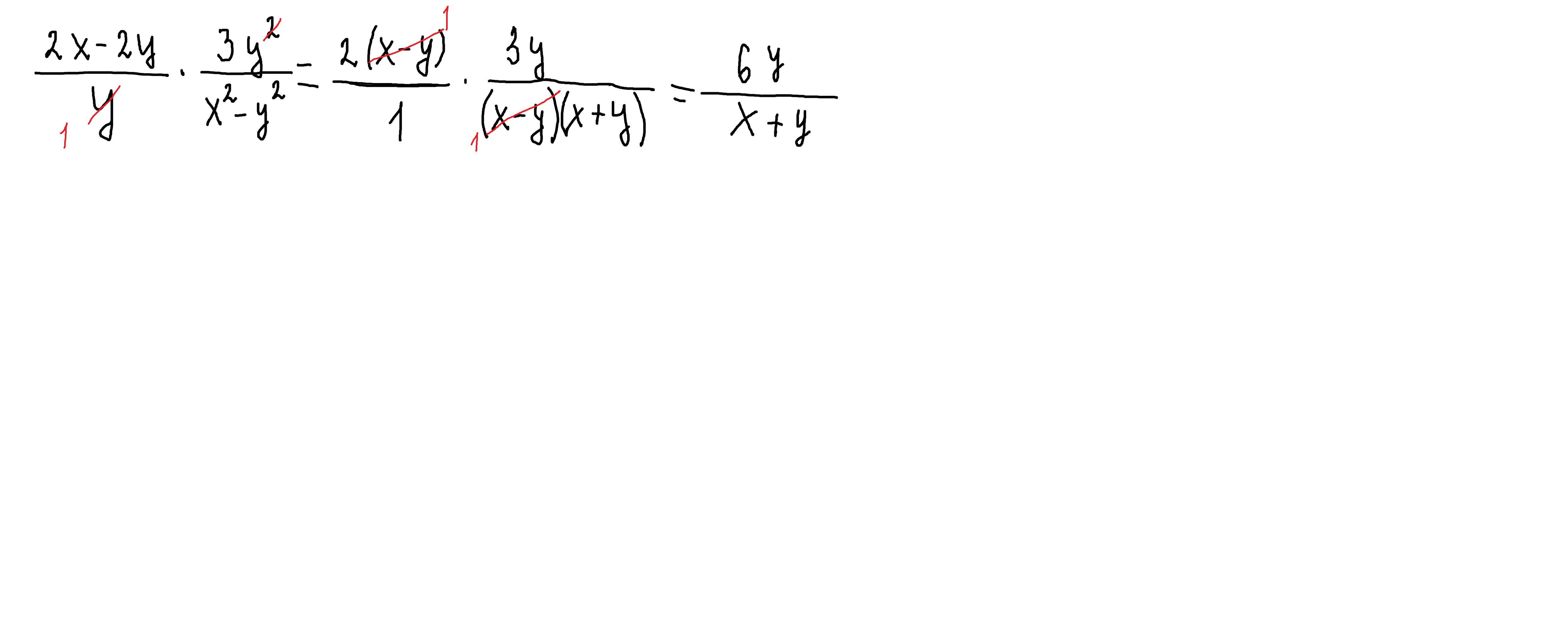
\frac{2x-2y}{y} *\frac{3y^{2} }{x^{2} -y^{2} }Упростите выражение пожалуйста! с объяснением

Ответы

Ответ дал: parus77
1

Ответ:

Объяснение:

решение смотри внизу

Приложения:

gfruzjot: спасибо!!!!!!
parus77: пожалуйста
Вас заинтересует