• Предмет: Математика
  • Автор: adrisovramazan
  • Вопрос задан 8 лет назад

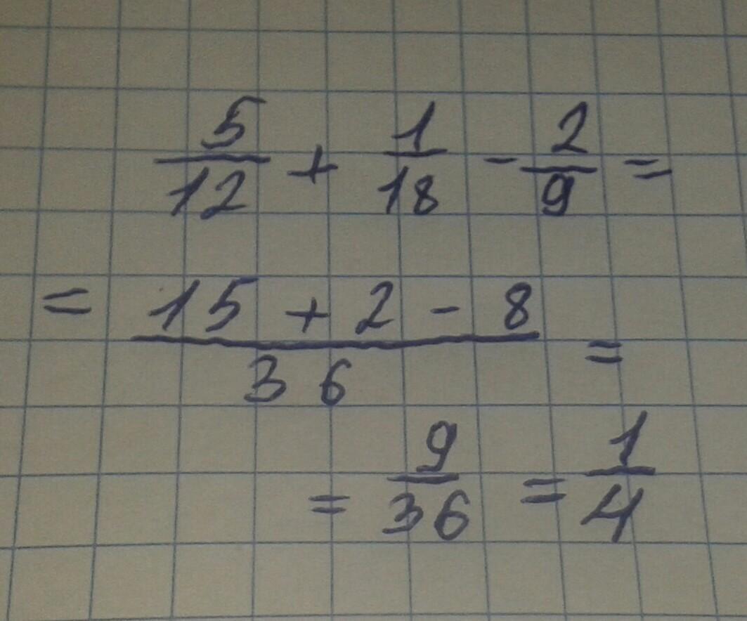
5/12+1/18-2/9.........​

Ответы

Ответ дал: SvytoyUchenic
0

надеюсь такой ответ ты ждал

Приложения:
Вас заинтересует