• Предмет: Алгебра
  • Автор: ersainganiev2016
  • Вопрос задан 8 лет назад

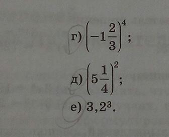
помогите очен срочно

Приложения:

Ответы

Ответ дал: voronovanasta097
0

Ответ:

надеюсь понятно...........

Приложения:
Вас заинтересует