• Предмет: Информатика
  • Автор: lorakondrateva
  • Вопрос задан 10 лет назад

перевести:

число 91 из десятичной в двоичную

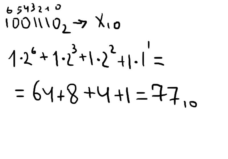
число  1001110 из двоичной в десятичную

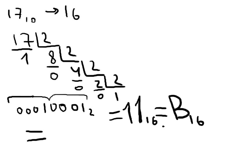
число 17 десятичной в шестнадцатеричную

Из шестнадцатеричной в десятичную: В4

Ответы

Ответ дал: goltgolt
0
вот вот вот вот вот вот вот вот вот вот 
Приложения:
Вас заинтересует