• Предмет: Алгебра
  • Автор: sajmardanovagulnur98
  • Вопрос задан 8 лет назад

помаги пжжжжжс алгеброй​

Приложения:

Ответы

Ответ дал: brianmaps2509
0

Ответ:

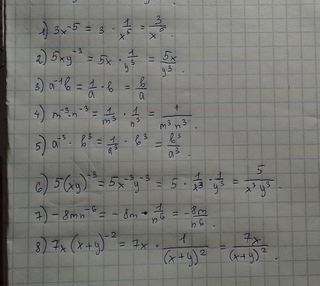
над 7-м вопросом я не сильно развидел квадрат. так что измените если там другая цифра.

Приложения:
Вас заинтересует