Решить систему уравнений (с подробным решением)
Приложения:

mathgenius:
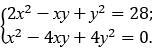
Второе уравнение: (x-2y)^2 = 0; x = 2y. Подставляем x = 2y, решаем квадратное уравнение и собственно все дела..
Ответы
Ответ дал:
0
Ответ:
(-4;-2), (4;2)
Объяснение:
ЛЕГЧАЙШАЯ
p.s. Подробно расписывать решение кв. уравнения не стал. Думаю, с этим вы сами справитесь, без моей помощи.
Приложения:

Вас заинтересует
2 года назад
3 года назад
3 года назад
8 лет назад
8 лет назад
9 лет назад