Ответы
Ответ дал:
1
Ответ:
Пошаговое объяснение:
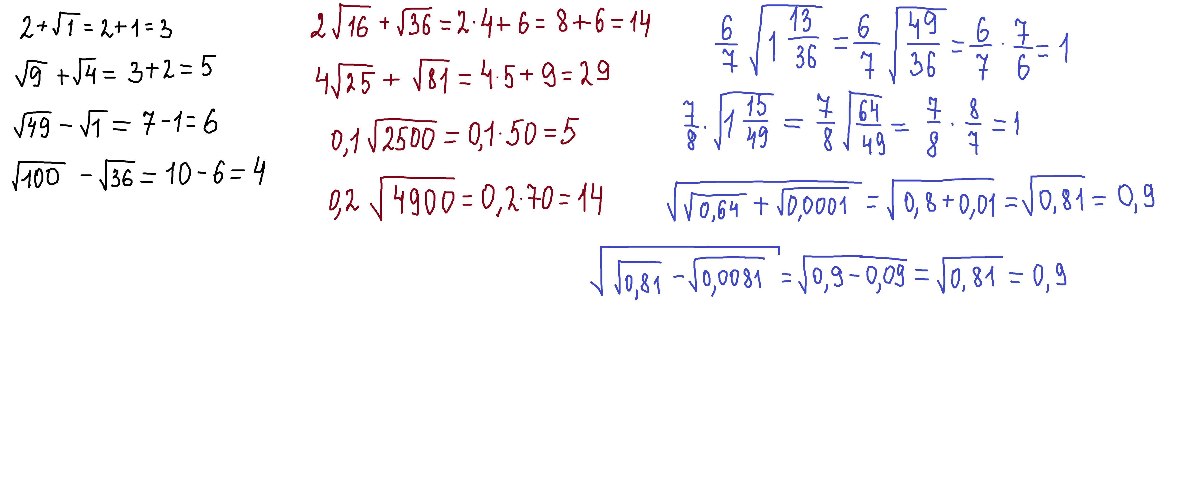
решение внизу,надеюсь что знаете квадраты чисел
2²=4 3²=9 4²=16 5²=25 6²=36 7²=49 8²=64 9²=81
Приложения:

Вас заинтересует
2 года назад
3 года назад
8 лет назад
9 лет назад
9 лет назад