• Предмет: Математика
  • Автор: gdididjsj
  • Вопрос задан 8 лет назад

Помогите плизззз там надо все расписать и в конце написать ответ дам 20 баллов

Приложения:

Ответы

Ответ дал: tatsach
1

Ответ:

Пошаговое объяснение:

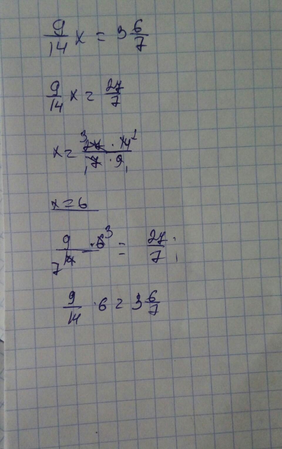
9/14х=27/7

Х=27/7*14/9

Х=6

Ответ дал: drigertvera0
1

на фото все написано!!!

Приложения:
Вас заинтересует