Ответы
Ответ дал:
1
Ответ:
)))))))))))))((((((((((((((
Приложения:

Ответ дал:
0
Ответ:
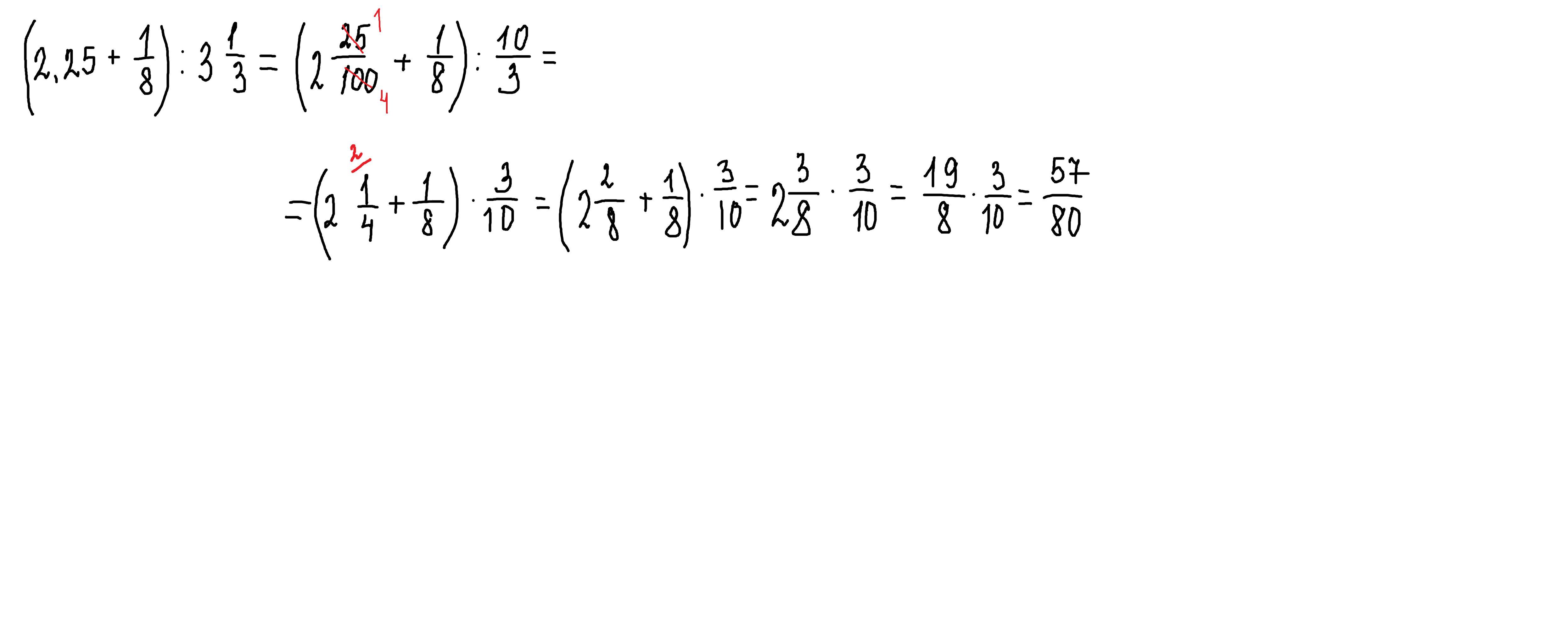
57\80
Пошаговое объяснение:
решение внизу
Приложения:

Вас заинтересует
2 года назад
3 года назад
8 лет назад
9 лет назад
9 лет назад