Ответы
Ответ дал:
0
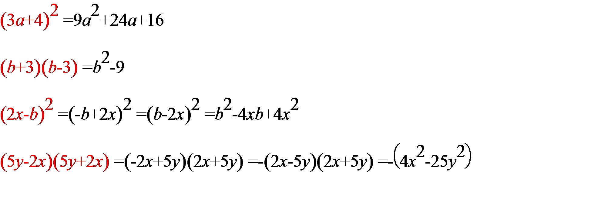
6a+8
b^2-9
4x-2b
25*y^2-4*x^2
Ответ дал:
0
файл
----------------------------------
Приложения:

Вас заинтересует
2 года назад
2 года назад
10 лет назад
10 лет назад
10 лет назад