• Предмет: Алгебра
  • Автор: Satpaiadel
  • Вопрос задан 8 лет назад

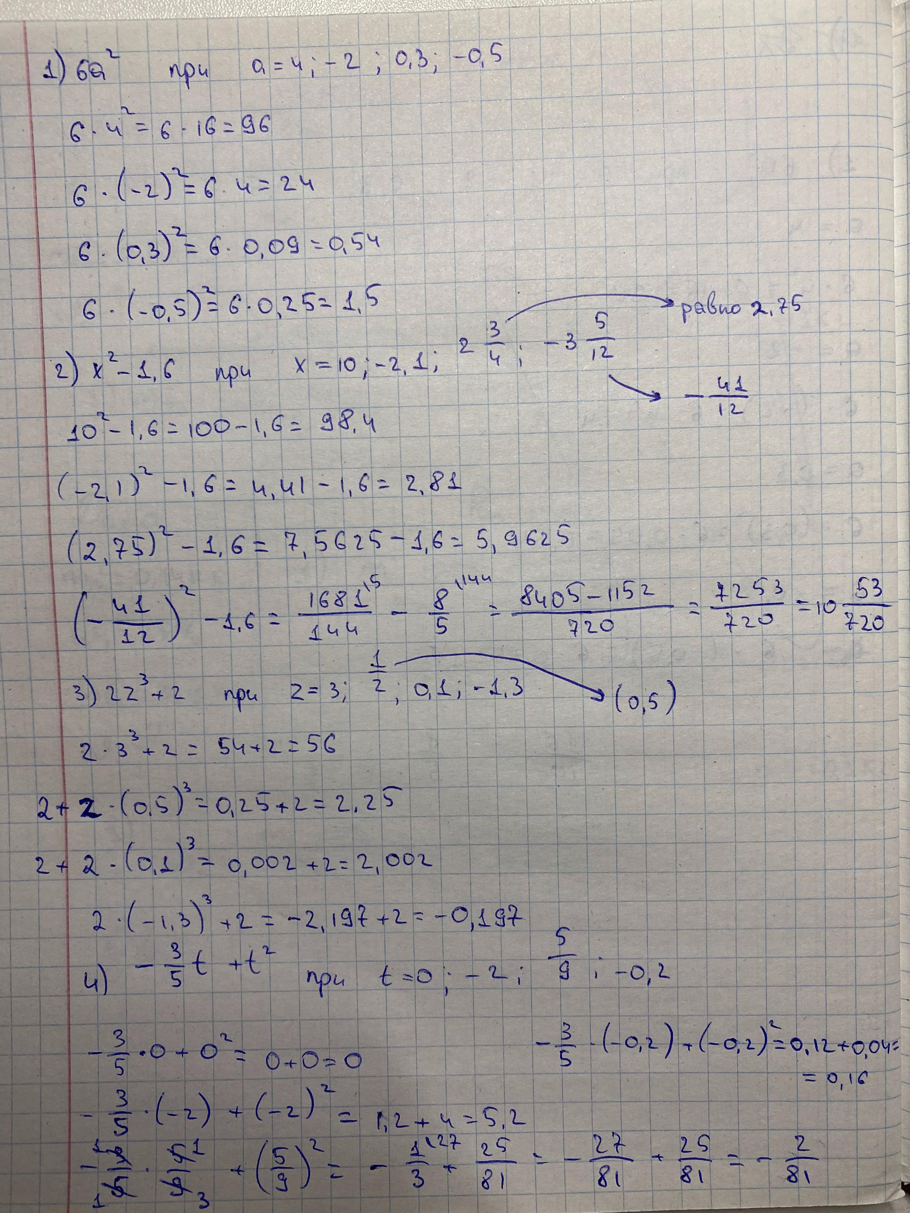
Помогите пожалуйста!!!​

Приложения:

Ответы

Ответ дал: Papyansofia
1
надеюсь я правильно решила…….
Приложения:
Ответ дал: Palik1
2

Все решения на фотографии

Приложения:
Вас заинтересует