Помогите решить задачи по геометрии!!!
В прямоугольном треугольнике АВС гипотенуза АВ равна 16, катет ВС равен
12. Найдите синус угла А.
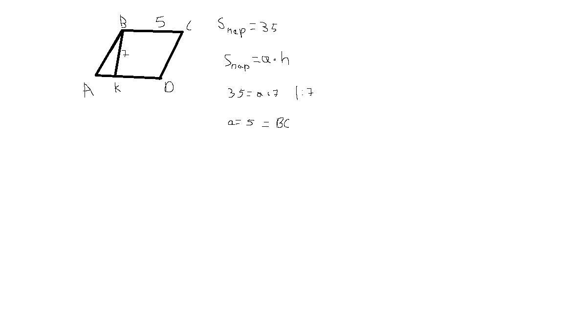
Площадь параллелограмма ABCD равна 35. Найдите сторону ВС параллелограмма,
если известно, что высота, проведенная к этой стороне, равна 7 .
Ответы
Ответ дал:
1
Ответ:
ответ
Объяснение:
Первая задача не видно что дано
Приложения:

Вас заинтересует
2 года назад
2 года назад
3 года назад
8 лет назад
8 лет назад