• Предмет: Математика
  • Автор: vladimirsoloneckij99
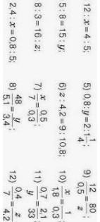
  • Вопрос задан 8 лет назад

помогите пожалуйста ​

Приложения:

Ответы

Ответ дал: bs5628280
0

Ответ:

12×5=15

4

8×15=24

5

3×16=6

8

Больше не смогу помочь, извини

Вас заинтересует