• Предмет: Математика
  • Автор: fsmerdc
  • Вопрос задан 8 лет назад

помогите пж мало времени ​

Приложения:

fsmerdc: заранее спасибо

Ответы

Ответ дал: baltabayanar
1

Пошаговое объяснение:

Барлыгы фотодааааааааааааааааа

Приложения:

fsmerdc: спасибо
Ответ дал: NataMon
1

Ответ:

2. х = 3

3. х = 2

Пошаговое объяснение:

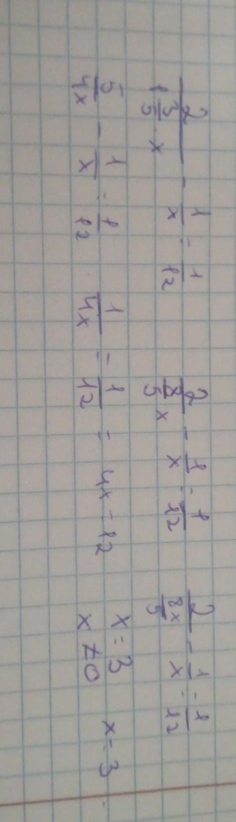
2. 2/1 3/5х - 1/х = 1/12

2/(8/5х) - 1/х = 1/12

2*5/8х - 1/х = 1/12

5/4х - 1/х = 1/12

5/4х - 4/4х = 1/12

1/4х = 1/12

4х = 12

х = 12/4

х = 3

3. 2/(1 1/3х) - 1/х = 1/4

2/4/3х - 1/х = 1/4

2*3/4х - 1/х = 1/4

3/2х - 2/2х = 1/4

1/2х = 1/4

2х = 4

х = 4/2

х = 2


fsmerdc: спасибо
Вас заинтересует