• Предмет: Алгебра
  • Автор: Аноним
  • Вопрос задан 8 лет назад

помогите, пожалуйста, срочно!
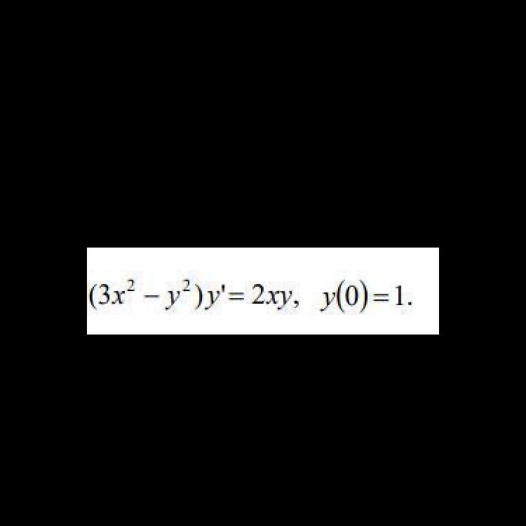
Найти общее решение или общий интеграл дифференциального уравнения.
Решить задачу Коши.

Приложения:

Ответы

Ответ дал: NNNLLL54
1

Ответ:

(3x^2-y^2)\cdot y'=2xy\ \ ,\ \ \ y(0)=1\\\\\\y'=\dfrac{2xy}{3x^2-y^2}\ \ \ odnorodnoe\ ,\ \ \ \displaystyle u=\frac{y}{x}\ \ ,\ \ y=ux\ \ ,\ \ y'=u'x+u\ \ ,\ \ x\ne 0\\\\\\u'x+u=\frac{2x\cdot ux}{3x^2-u^2x^2}=\frac{2u}{3-u^2}\ \ ,\ \ \ u'x=\frac{2u}{3-u^2}-u=\frac{2u-3u+u^3}{3-u^2}\\\\\\u'x=\frac{u^3-u}{3-u^2} \ \ ,\ \ \ u'=\frac{u^3-u}{x\, (3-u^2)}\ \ ,\ \ \ \frac{du}{dx}=\frac{u^3-u}{3-u^2}\ \ ,

\displaystyle \int \frac{(3-u^2)\, du}{u(u-1)(u+1)}=\int \frac{dx}{x}\\\\\\\int \frac{(3-u^2)\, du}{u(u-1)(u+1)}=\int \frac{-3\, du}{u}+\int \frac{du}{u-1}+\int \frac{du}{u+1}=\\\\\\=-3ln|u|+ln|u-1|+ln|u+1|+lnC^*=ln\frac{C^*|u+1|\cdot |u-1|}{|u|^3}=ln\frac{C^*|u^2-1|}{|u|^3}\\\\\\ln\frac{C|u^2-1|}{|u|^3}=ln|x|\ \ ,\ \ \ \ C\Big(\, \frac{y^2}{x^2}-1\Big)=x\cdot \frac{y^3}{x^3}

C\Big(\, \dfrac{y^2}{x^2}-1\Big)=\dfrac{y^3}{x^2}\ \ ,\ \ \ C\Big(\, \dfrac{y^2-x^2}{x^2}\, \Big)=\dfrac{y^3}{x^2}\ \ ,\ \ \ \underline{\ C\, (\, y^2-x^2)=y^3\ ,\ x\ne 0\ }

Так как получили решение при х≠0 , то найти частное решение при у(0)=1 невозможно .

Например, если бы задали  у(1)=2, то

y(1)=2:\ \ C\codt (4-1)=8\ \ ,\ \ 3C=8\ \ ,\ \ C=\dfrac{8}{3}\ \ \Rightarrow \\\\y_{chastnoe}=\dfrac{8}{3}\cdot (y^2-x^2)=y^3

Вас заинтересует