• Предмет: Алгебра
  • Автор: Karishek
  • Вопрос задан 11 лет назад

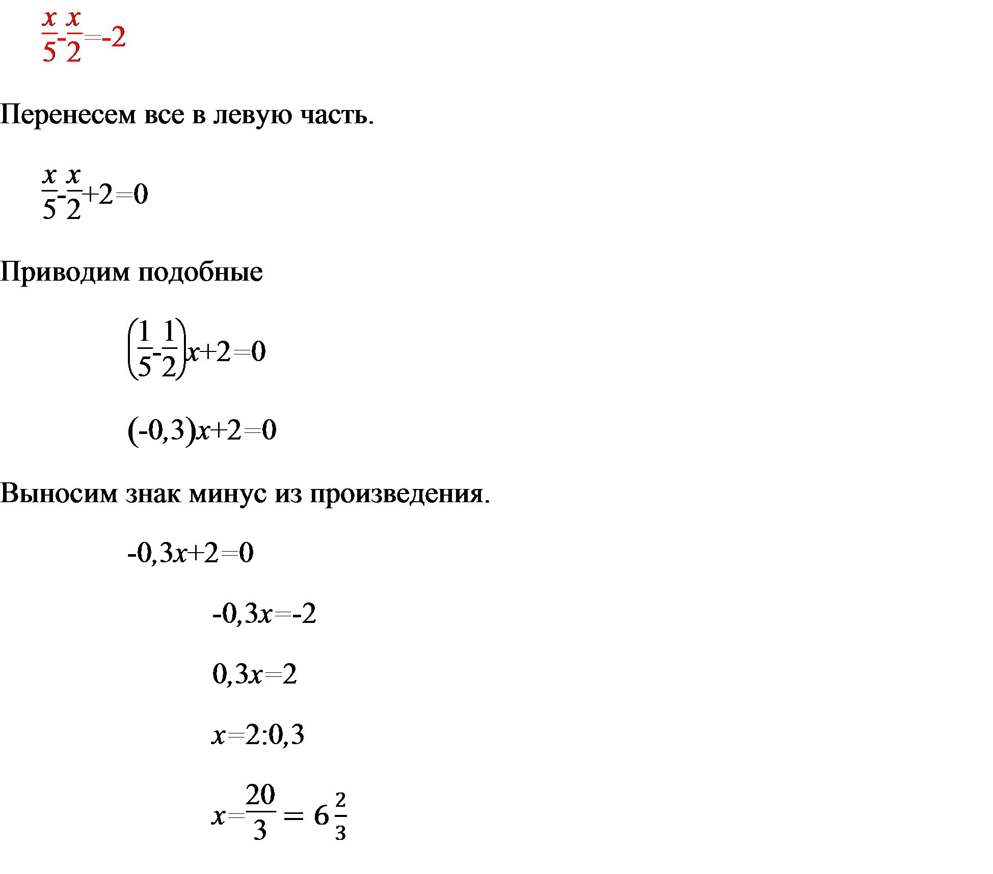
х/5-х/2=-2,где деление там дробь

Ответы

Ответ дал: Tatu45
0

х/5-х/2=-2 I*10

2х-5х=-20

-3х=-20

х=20/3

х=шесть целых две третьих(6+2/3)

 

Ответ дал: triolana
0

файл

--------------------------------

Приложения:
Вас заинтересует