Вычислите:
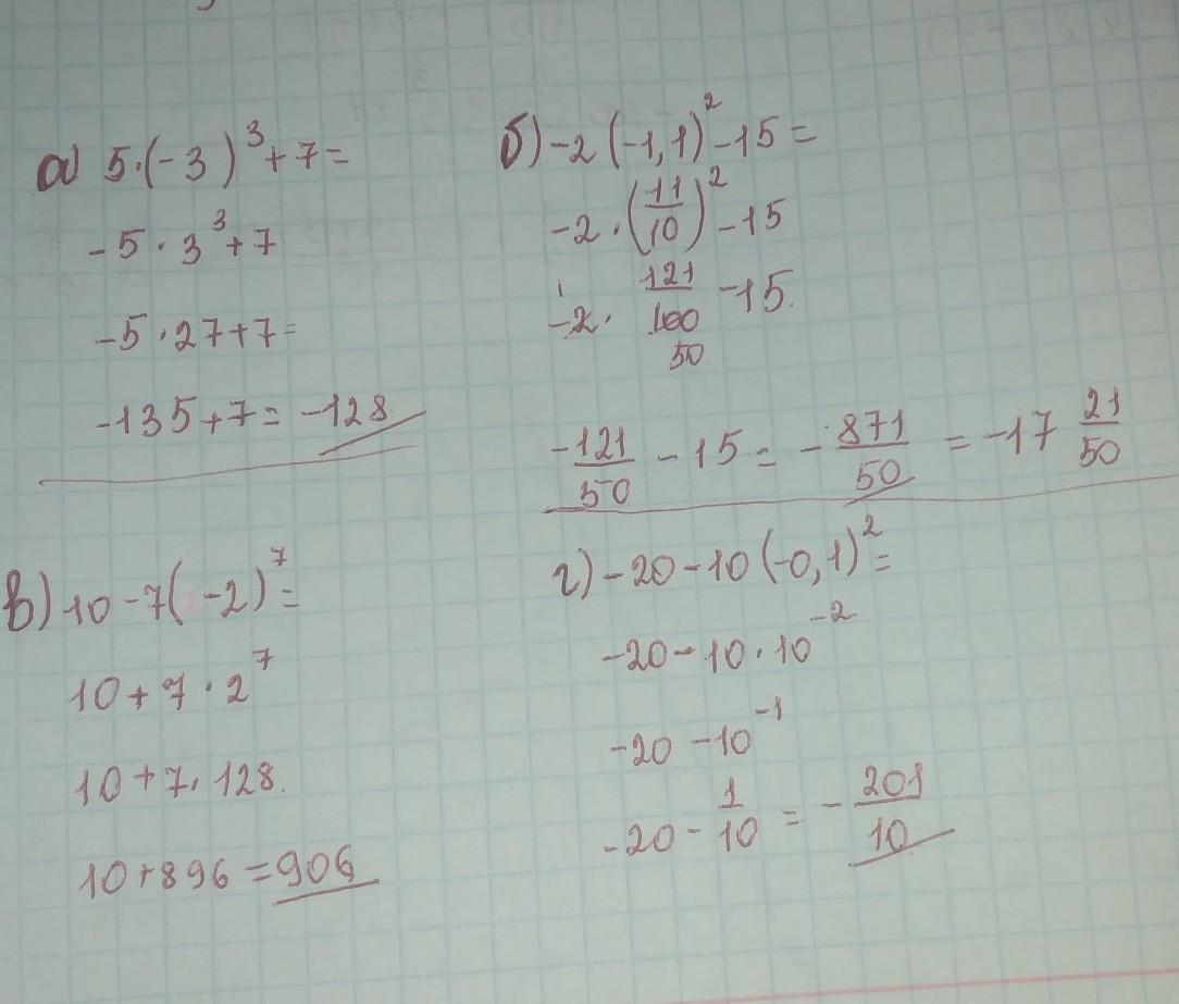
а) 5×(-3)³+7=
б) -2×(-1,1)²-15=
в) 10-7×(-2)⁷=
г) -20-10×(-0,1)²=
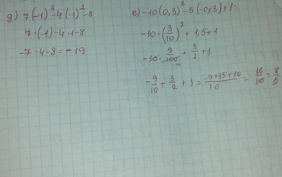
д) 7×(-1)³-4×(-1)²-8=
е) -10×(-0,3)²-5×(-0,3)+1=
Ответы
Ответ дал:
1
Ответ:
ну вот пожалуйста надеюсь всё правильно
Приложения:


Вас заинтересует
2 года назад
2 года назад
3 года назад
3 года назад
9 лет назад
9 лет назад