• Предмет: Геометрия
  • Автор: Rick808
  • Вопрос задан 11 лет назад

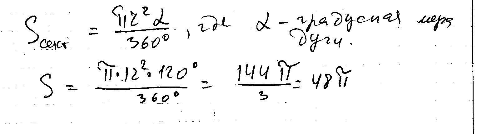
Радиус круга равен 12 дм, а градусная мера дуги равна 120 градусов . Найдите площадь ограниченного этой дугой сектора.

Ответы

Ответ дал: ужнеужели
0
Радиус круга равен 12 дм, а градусная мера дуги равна 120 градусов . Найдите площадь ограниченного этой дугой сектора.
Приложения:
Вас заинтересует