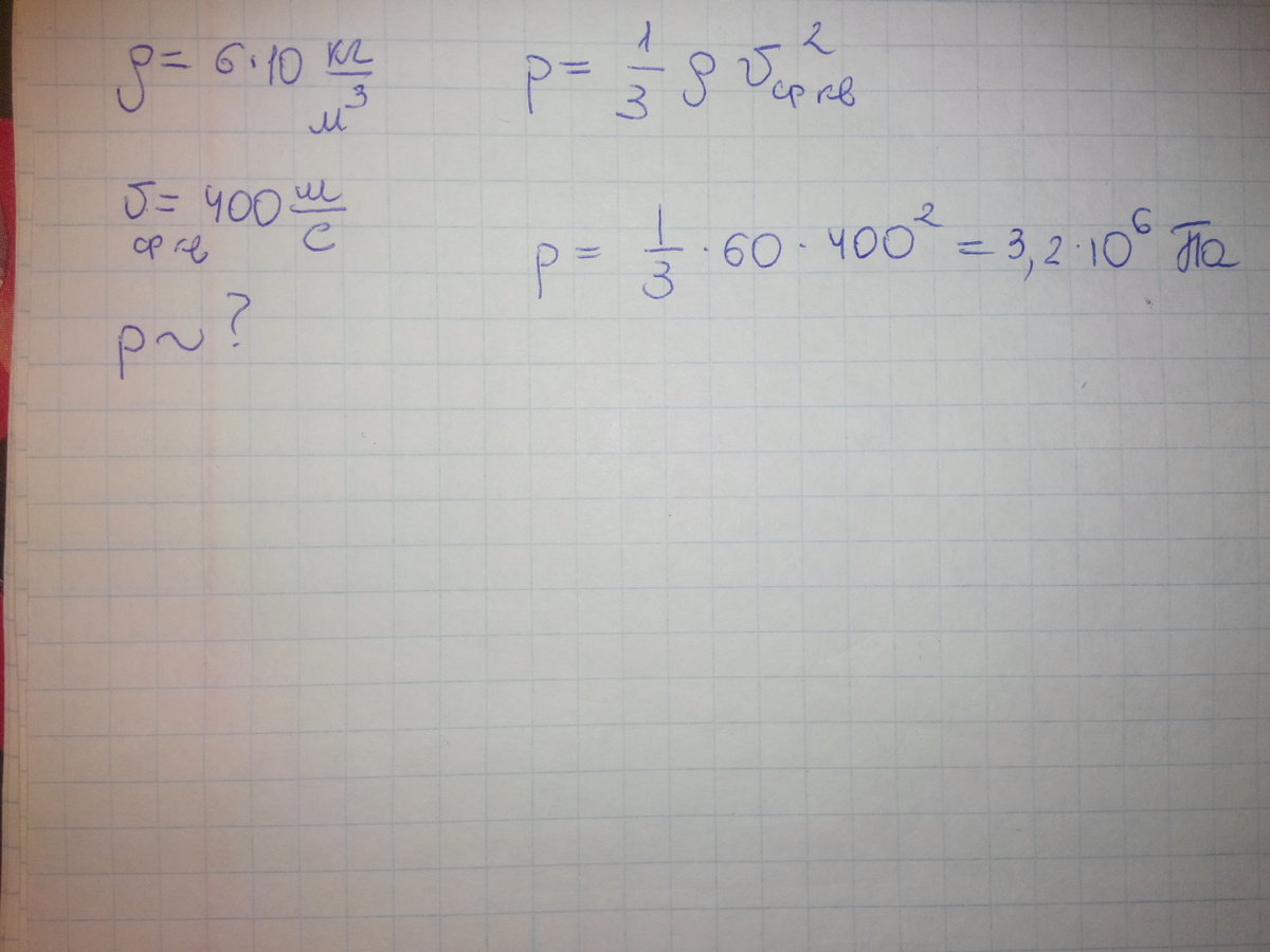
Який тиск чинить газ густиною 6*10 кг/м3 на стінки посудини якщо середня квадратична швидкість руху його молекул 400/с
Ответы
Ответ дал:
0
Будут вопросы - пиши.
Приложения:

Ответ дал:
0
Ок дуже дякую!
Вас заинтересует
2 года назад
2 года назад
8 лет назад
8 лет назад
10 лет назад
10 лет назад