• Предмет: Алгебра
  • Автор: cagolova05082006
  • Вопрос задан 8 лет назад

(пожалуйста, помогите хотя-бы с каким-нибудь!!!!)

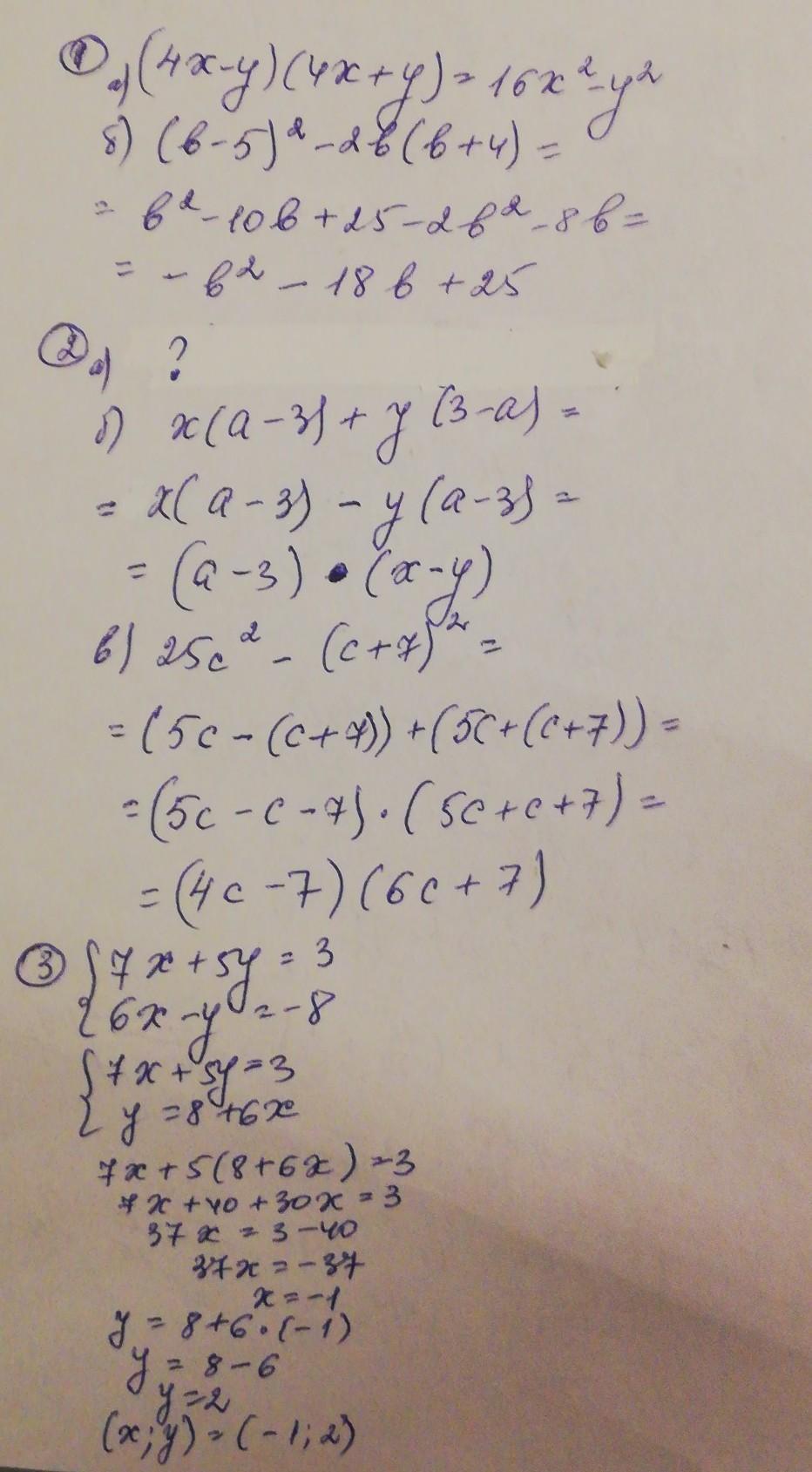
1. преобразуйте многочлен стандартоного вида:
а) (4х-у) (4х+у)
б) (b-5)(во второй степени) - 2b (b+4).

2. разложите на множетили:
a) 3а (во второй степени) - 15а (во второй степени)
б) x (a-3 )+ y (3-a)
в) 25c (во второй степени) - (c+7) ( скобка во второй степени)

3. решите систему уравнений:
7x+5y= 3
6x - y= -8

4. тетрадь стоит 20 рублей. какое наиьольшее колчичество таких тетрадец можно будет купить на 350 рублкй после понижения цены на 15%

5. из двух городов A и B, расстояние между которыми равнр 440 км, навстречу друг другу выехали два автомобиля и встретились через 4 часа на расстоянии 240 км от города В. Найдите скорость автомобиля, выехавшего из города А​

Ответы

Ответ дал: larisaserova53
6

Ответ:

Смотри решение на фото выше

Приложения:

cagolova05082006: СПАСИБО БОЛЬШОЕ!!!!!
larisaserova53: 2 задание под буквой А верно записано?
cagolova05082006: нет, я только заметила что неправильно написала, 3а в там в кубе, а не в квадрате
cagolova05082006: вообще, в любом случае спасибо вам большое, вы меня спасли❤
larisaserova53: я добавила тот пример, который не решила
cagolova05082006: спасибо❤
Вас заинтересует