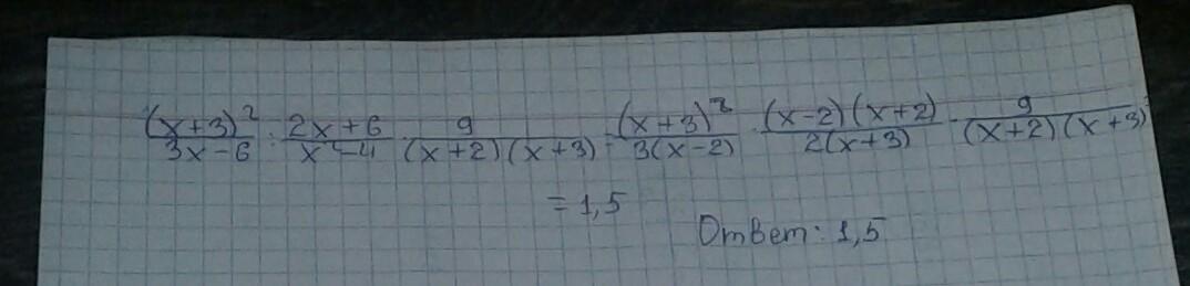
Повторение. Тождественные преобразования алгебраических выражений. (x + 3)? 2x + 6 9 Выполни действия: 3х – 6 х2 – 4 (x+2)(х+3) 1,5 3 -3 е Назад В Проверить
Приложения:

Ответы
Ответ дал:
0
Ответ:
Ответ будет 1.5
Удачи :))
Пошаговое объяснение:
:)
Приложения:

NakanoNiino:
Правильнооо:) Вау! Спасибо!
Вас заинтересует
2 года назад
2 года назад
3 года назад
3 года назад
8 лет назад
9 лет назад
9 лет назад