• Предмет: Алгебра
  • Автор: Аноним
  • Вопрос задан 8 лет назад

ПОЖАЛУЙСТА!!
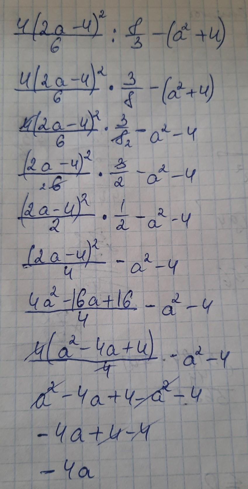
Упростите выражение: 4(2a−4)26:83−(a2+4)

Приложения:

Ответы

Ответ дал: spiridonovasofa95
6

Ответ:

a^2-4a+4-a^2-4

-4a+4-4

-4a

Приложения:

alina24240: Это верно
alina24240: Могу еще ответы дать
alina24240: В моих вопросах посмотри, я прошла тест у меня 5
alina24240: В 1 там 125/858
alina24240: Xnj gjvjxm&
alina24240: С чем помочь?
alina24240: Могу в ватсапп скинуть
Juliyaleshenko: давай
Juliyaleshenko: а в первом 13/12 - 10/11 и тд ?
alina24240: Так я ниже написала, это был мой тест так что ответы есть)
Ответ дал: alina24240
3

Ответ:

-4а

Объяснение: Все ответы ВЕРНЫ!!!  *проверено*

Ответы на тест:

  •  1)  (14/13−11/12)⋅10/11

 

Ответ:  

125/ 858

  • 2) Разложи на множители:  
  • x^2+2xy+y^2.

Ответ:

х+у^2

  • 3) Вычисли:
  • (−4/5)^4−(1/25)^2+18

Ответ:

18    51/125

  • 4)Представь в виде произведения
  • x10y20−1.

Ответ:

(x^5y^10−1)⋅(x^5y^10+1)

  • 5)Разложи на множетели:
  • p^3−p^2k−pk^2+k^3

Ответ:

(p-k)^2*(p+k)

  • 6) Используя правила умножения и деления степеней, упрости выражение:
  • b^7⋅b^13 / b^19 ⋅ z^56⋅z^9 / z64

Ответ:

b * z (умножить)

  • 7) Упрости:

(t2)^2−(t2)^7⋅(t2)^6:(t2)^13

Ответ: *их два*

1/4 t^2−1

t2/4 −1

Ну и последний это  -4а)

Всем УДАЧИ) у меня 5)

Вас заинтересует