• Предмет: Алгебра
  • Автор: ovchinnikovgrisha998
  • Вопрос задан 8 лет назад

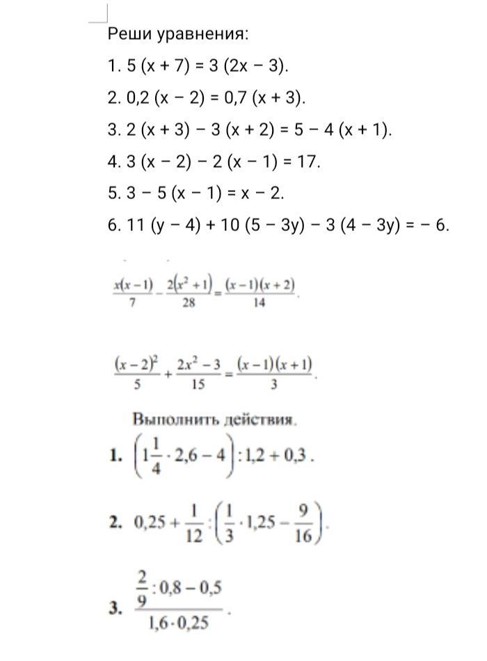
Помогите решить пожалуйста

Приложения:

Ответы

Ответ дал: anastasiaanikina68
0

Ответ:

1. x=44

2. x=5

3. x=1/19

4. x=21

5. x=5/3 (1 2/3)

6. y=0

Объяснение:

1. 5x+35=6x-9

5x-6x=-35-9

-x=-44

x=44

2. 0,2x-0,4=0,7x+2,1

0,2x-0,7x=0,4+2,1

-0,5x=2,5

x=-5

3. 2x+6-3x-6=5-20x-4

-x+20x=1

19x=1

x=1/19

4. 3x-6-2x+2=17

x-4=17

x=17+4

x=21

5. 3-5x+5=x-2

8-5x=x-2

-x-5x=-8-2

-6x=-10

6x=10

x=10/6

x=5/3 или 1 2/3

6. 11y-44+50-30y-12+9y=-6

-11y-6=-6

-11y=-6+6

-11y=0

y=0

Пока только первое сделала. Если есть вопросы спрашивай.

Вас заинтересует