• Предмет: Алгебра
  • Автор: hincagovaksenia148
  • Вопрос задан 8 лет назад

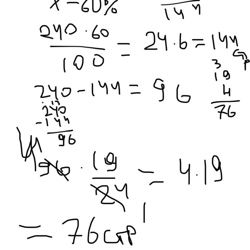
.В книге 240 страниц. Повесть занимает 60% книги, а рассказы 19/24 остатка. Сколько страниц в книге составляют рассказы? помогите пожалуйста​

Ответы

Ответ дал: seroncha
0
Там немного не вместилось, сверху было 240-100%
Х-60%
Приложения:
Вас заинтересует