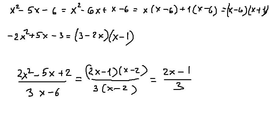
1. Разложите на множители квадратный трехчлен.
а) x^2-5x-6
б)-2x^2+5x-3
2. Сократите дробь.
2x^2-5x+2 / 3x-6
Ответы
Ответ дал:
0
решениееееееееееееееееееее
Приложения:
Ответ дал:
0
1)
a) (x-6)(x+1)
б) (2x+1)(x-3)
2) (2x-1)/3
a) (x-6)(x+1)
б) (2x+1)(x-3)
2) (2x-1)/3
Приложения:
Вас заинтересует
3 года назад
8 лет назад
8 лет назад
11 лет назад
11 лет назад
11 лет назад