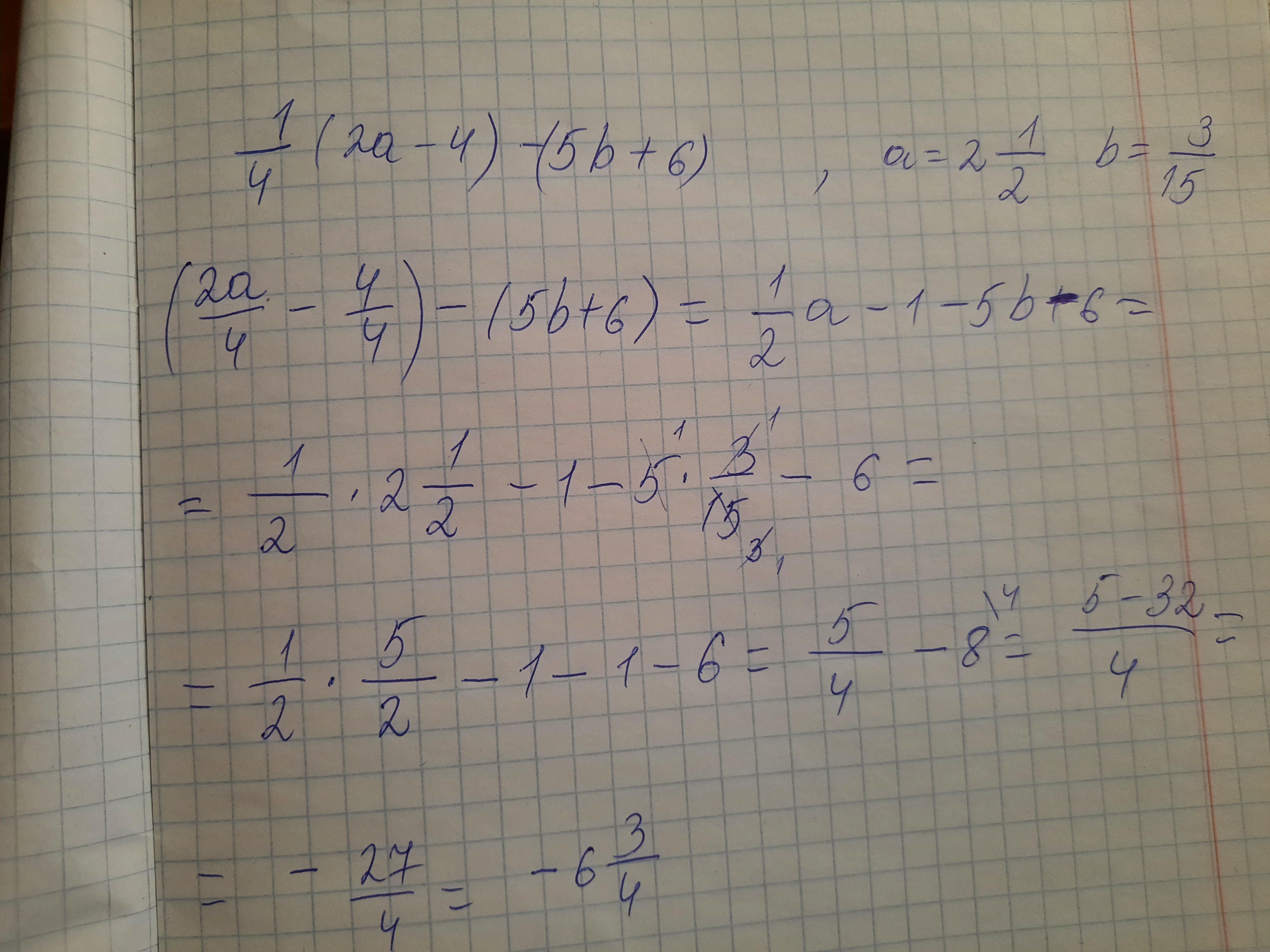
2.3 Упростите выражение 1/4 (2a-4) - (5b +6) и найдите его значение при a =2½, b = 3 /15
mahri43:
ой извини я забыла поставить фото можешь удалить скорее пж чтоб исправлять
Ответы
Ответ дал:
4
Ответ:
Пошаговое объяснение:
dsddddssf
Приложения:

Вас заинтересует
2 года назад
3 года назад
3 года назад
8 лет назад
9 лет назад
9 лет назад