Ответы
Ответ дал:
1
Ответ:
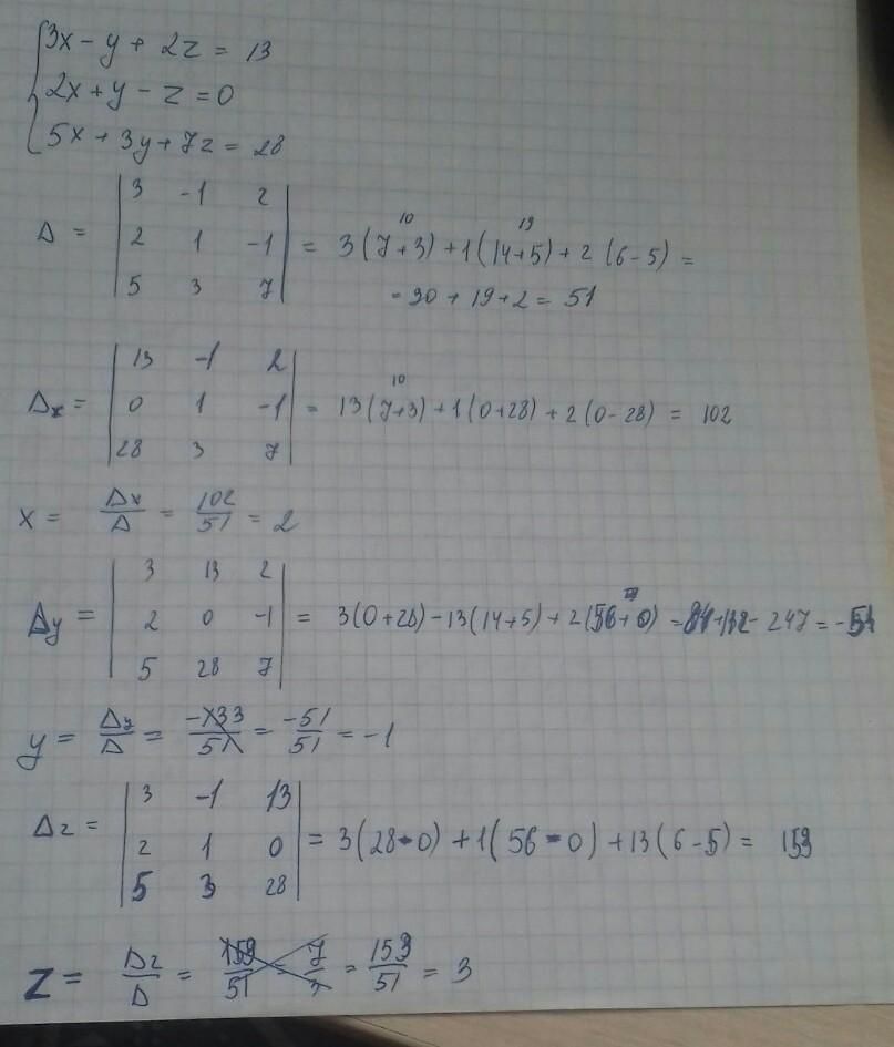
(2;-1;3)
Объяснение:
решено методом Крамера
Приложения:

Вас заинтересует
2 года назад
2 года назад
3 года назад
3 года назад
8 лет назад
8 лет назад