• Предмет: Алгебра
  • Автор: alenachka1578
  • Вопрос задан 11 лет назад

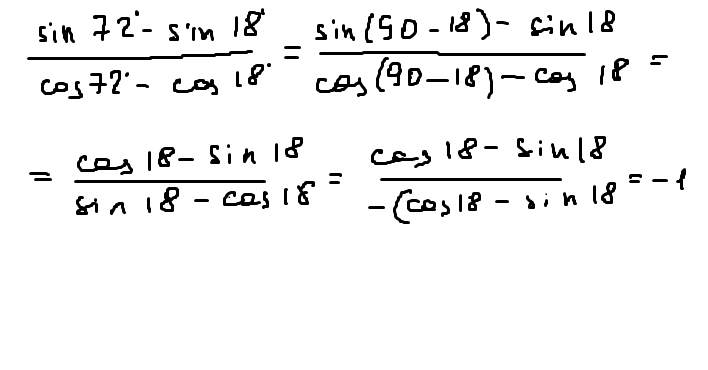
доказать тождество: sin72градуса-sin18градусов/cos72градуса-cos18градусов=-1

Ответы

Ответ дал: esmilya
0
решениеееееееееееееееее
Приложения:
Вас заинтересует