• Предмет: Алгебра
  • Автор: mkineshma
  • Вопрос задан 11 лет назад

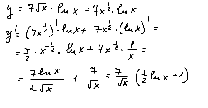
Помогите пожалуйста решить) семь крней из икс * ln x надо производную найти) буду очень благодарна

Ответы

Ответ дал: esmilya
0
решениеееееееееееееееее
Приложения:
Вас заинтересует