2.6.
дам 30 баллов Помогите пожалуйста
Приложения:

Universalka:
https://znanija.com/task/45336932
Ответы
Ответ дал:
0
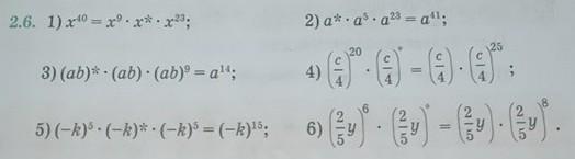
Ответ:1) x⁴⁰ = x⁹ * x? * x²³ = x⁴⁰ = x³¹ * x? = x⁴⁰: x³¹ = x⁹
Дальше буду писать только ответы т.к. решается по такому же принципу (автор прости)
2)a¹³
3)(ab)¹⁴ (второе ab нужно ставить в 1 степень для решения)
4)(с/4)⁶
5)(-k)⁵
6)(2/5 y)³
Надеюсь помог
Вас заинтересует
2 года назад
3 года назад
3 года назад
8 лет назад
8 лет назад
9 лет назад